LA RACINE CARRÉE
1. Activités
- Quel est le carré du nombre 7 ? 49 car 72 = 49.
- Quel est le carré du nombre 12 ? 144 car 122 = 144.
- Quel est le nombre dont le carré est égal à 25 ? 5 car 52 = 25
On dira que 5 est la racine carrée de 25.
- Quel est le nombre dont le carré est égal à 64 ? 8 car 82 = 64
On dira que 8 est la racine carrée de 64.
2. Définition
La racine carrée d'un nombre positif x est le nombre positif qui,
élevé à la puissance 2, est égal à x
- Exemples
- La racine carrée de 169 est égale à 13 car 132 = 169
- La racine carrée de 36 est égale à 6 car 62 = 36
- 9 est la racine carrée de 81 car 92 = 81
- La racine carrée de 2 est égale à 1,414213562... c'est un nombre irrationnel,
cela signifie qu'il ne peut pas s'écrire sous la forme d'une fraction. Il comporte une infinité de chiffres.
La plupart des racines carrées sont des nombres irrationnels, ainsi :
- racine carrée de 3 = 1,732050808...
- racine carrée de 5 = 2,236067977...
- racine carrée de 6 = 2,449489743...
- etc.
- Notation

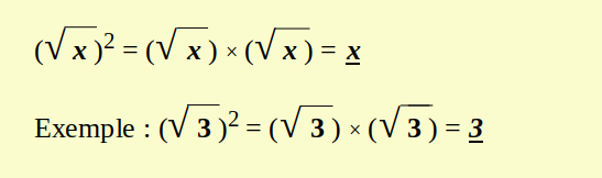
- Propritété

- Écriture

- Cas particuliers

- Les premières racines carrées parfaites

- Applications

Un jardin de 289 m2 a la forme d'un carré,
quelle est la longueur d'un côté de ce jardin ?
Réponse

L'aire d'un disque est donnée par la formule :
Aire disque = π × rayon2.
Quel est le rayon d'un disque dont l'aire est égale à
490,625 cm2 ? (prendre π = 3,14)
Réponse

Louise lâche une pierre depuis un pont, le pont est
à 24 m au dessus de l’eau.
La distance d parcourue par un objet
lâché d’une hauteur est donnée par la formule :
d = 4,8 t2 où t est le temps en seconde.
Combien de temps a mis la pierre pour atteindre l’eau ?
Réponse

Alain a calculé son IMC (Indice de Masse Corporelle) à l’aide de la formule :

Il a trouvé 22,2 alors qu’il pèse 68 kg. Quelle est sa taille ?
Réponse

D’après le tableau précédent, quel est son statut ?
Réponse