LE CALCUL LITTÉRAL


Exercice 1

Quelles sont les affirmations exactes ?


Réponses


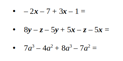
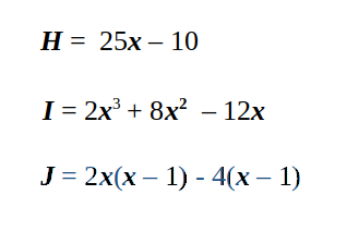
Exercice 2

Simplifie et ordonne les expressions suivantes.


Réponses


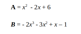
Exercice 3

Calcule A et B pour x = - 2.


Réponses


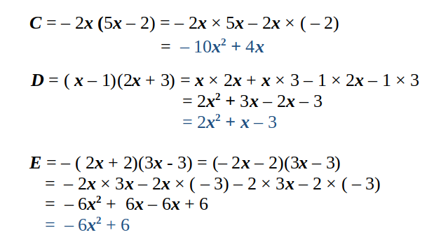
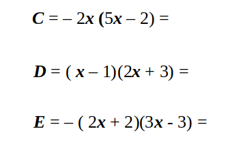
Exercice 4

Développe les expressions suivantes.


Réponses


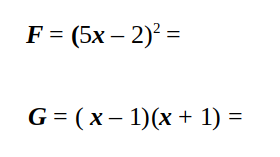
Exercice 5

Utilise les identités remarquables pour
développer les expressions suivantes.


Réponses


Exercice 6

Factorise les expressions suivantes.


Réponses